P.14 |
|
P.15 Multiple Charge System |
|
|
Statement
Five equal point charges, each with charge Q, are located at various points on the x axis. Find the potential at the origin.
System Parameters
Permittivity of free space:
The x distances are given by:
Solution
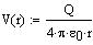
As established in Chapter 5, the potential due to a point charge is
with a zero reference at infinity. At the origin, the radius for each charge is simply the distance along the x axis. We can add the contribution from each charge by superposition.
Try different arrangements of the charges by changing the definition of the vector of positions, xn, above. Are the results what you'd expect?