Statement
Two thin conducting half planes at f1 and f2 are insulated from each other along the z axis. Given that the potential function is V(f), find the energy stored between the half planes for a range of r and a range of z. Assume free space between the plates.
System Parameters
Permittivity of free space:
Range of r:
Range of f:
Range of z:
Solution
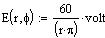
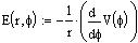
To find the energy stored in a region of space, integrate the energy density through the region. Between the half planes, take the gradient of the potential. Since there is only a f dependence, the only component of the gradient will be angular.
or
Solving symbolically yields:
P.15 |
|
P.16 The Wedge Capacitor |
|
|
The energy is then given by the volume integral over the electric field.
Again, solve symbolically,