Statement
Consider two dielectric regions with a boundary defined by the plane x = 0. Region 1, defined by x < 0, is free space, while region 2, x > 0, has relative permittivity er. Given the flux density in region 1, find the electric field in region 2, and the angles these fields make with the x = 0 boundary.
System Parameters
Permittivity of free space:
Solution
The boundary conditions for dielectrics, as established in Chapter 7, state that the tangential electric fields are continuous, and that the normal flux densities are continuous providing there is no space charge on the interface.
The flux density will have the same normal (x) component as that in region 1, and the dielectric constant times the same tangential (y and z) components of E.
P.17 |
|
P.18 Electric Field at an Interface |
|
|
To find the angles, use the dot product method shown in Problem 1.3. The angle we are looking for is 90° minus the angle between the normal axis and the fields.
So
Try changing the dielectric constant of region 1 to be something other than that for free space. How does this affect the two angles and the magnitudes of the fields? What happens if the two permittivities are set equal to one another?
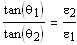
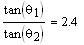
A useful relation can be obtained from
Notice that, since E2 is really equal to
then
For a more advanced analysis of this boundary condition, see Problem 14.1.