Statement
Show that (a) a capacitor with two dielectrics in parallel adds in series, and (b) that a capacitor with two dielectrics in series adds in parallel (see figure below). Find the capacitances of each structure given the relative permittivities and dimensions.
System Parameters
Permittivity of free space:
Solution
For the case of dielectrics in parallel (first figure above), the charge applied to the upper plate will distribute itself so that the entire plate is at the same potential (no internal E field means no voltage drop, as in Chapter 6). Hence the voltage difference between plates is common to the two dielectrics. Neglecting fringing fields
(a)
all pointing down from the upper plate to the lower plate.
Since both electric fields are the same, but the permittivities are different, the charge densities on the two halves of the plate must also be different. The flux density is equal to the surface charge on a conductor, so the charge densities on the two sections of the upper plate are
The total charge is
The capacitance, Q/V, is therefore
P.18 |
|
P.19 Capacitance Relations |
|
|
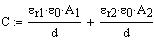
For a single parallel plate capacitor, as established in Chapter 5, the capacitance is
which shows that the two parallel dielectric capacitors simply add in series. Qualitatively, since each electric field passes through one only dielectric in this configuration, each capacitor acts independently, despite being sandwiched between a single plate.
The capacitance, for the given parameters, is
(b)
Working in reverse from the previous system, the charge on the upper plate is a constant, so
everywhere between the plates, and the electric field will have different strengths in the two different dielectrics:
The voltage differences across the two dielectrics are then
Voltage is linear, and so will add in series, for a total voltage of
It is also true that 1/C = V/Q,
which is the appropriate relationship for adding in parallel.
The capacitance, for the given parameters, is
You are encouraged to change the ratios of the areas and distances in this problem as well as the relative permittivities, to discover the effect on the total capacitance.